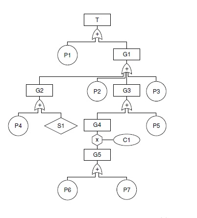
การชี้บ่งอันตรายแบบการวิเคราะห์ความผิดพลาดของระบบด้วยวิธีต้นไม้ Fault Tree Analysis (FTA) เป็นเครื่องมือที่นิยมใช้ในการประเมินหาค่าความถี่ในการเกิดอุบัติเหตุ ในการประเมินความเสี่ยงเชิงปริมาณ โดยอาศัยหลักการทางพีชคณิตแบบบูลีน Boolean algebra
ข้อดีที่เห็นได้ชัดสำหรับการชี้บ่งอันตรายแบบการวิเคราะห์ความผิดพลาดของระบบด้วยวิธีต้นไม้ Fault Tree Analysis (FTA) คือ การหาความถี่ของอันตรายหรือการเกิดปัญหาแบบพร้อมกัน หมายถึง มีเหตุการณ์เกิดขึ้นมากกว่าหนึ่งอย่างพร้อมๆกัน ซึ่งนี่เป็นข้อจำกัดที่พบได้ในการชี้บ่งอันตรายแบบเชิงคุณภาพจำพวก HAZID หรือ HAZOP และยังสามารถใช้ประเมินหาความถี่หรือโอกาสในการเกิดเหตุที่ไม่เคยมีการบันทึกมาก่อนได้
ส่วนข้อจำกัด ของการชี้บ่งอันตรายแบบการวิเคราะห์ความผิดพลาดของระบบด้วยวิธีต้นไม้
Fault Tree Analysis (FTA) คือ ในการพิจารณาแบบพีชคณิตแบบบูลีนนั้น จะเป็นการพิจารณาในแค่สองลักษณะเท่านั้น กล่าวคือ มีแค่สำเร็จกับแค่ล้มเหลว สองกรณีเท่านั้น นั้นหมายถึงสำหรับบางเหตุการณ์ที่มีเรื่องระยะเวลาหรือ time delays เข้ามาเกี่ยว ระยะเวลานั้นจะไม่ถูกนำมาคิด
โดยปกติการชี้บ่งอันตรายแบบการวิเคราะห์ความผิดพลาดของระบบด้วยวิธีต้นไม้
Fault Tree Analysis (FTA) นั้นจะเริ่มจากเหตุการณ์อันตรายที่เกิดผลกระทบรุนแรง แล้วค่อยไล่เขียนลงมาหาถึงสาเหตุต่างๆที่มีโอกาสนำไปสู่เหตุการณ์ต่างๆ เราเรียกว่ากระบวนการนี้ว่า top-down approach
ดังนั้น โดยสรุปการชี้บ่งอันตรายแบบการวิเคราะห์ความผิดพลาดของระบบด้วยวิธีต้นไม้
Fault Tree Analysis (FTA) สามารถทำอะไรได้บ้าง
- ประเมินหาค่าความถี่ของเหตุการณ์ที่เกิดจากความผิดพลาดของระบบ ของคน หรืออื่นๆ ที่เกิดขึ้นในพร้อมๆกันได้
- ประเมินหาเครื่องมือที่สามารถลดค่าความถี่ของเหตุการณ์หรือการเพิ่มความเชื่อมั่นของอุปกรณ์
- ประเมินค่าระดับของระดับความปลอดภัยของระบบ Safety Integrity Level หรือ SIL หรือหาวิธีเพิ่มค่าระดับความปลอดภัยของระบบ
การชี้บ่งอันตรายแบบการวิเคราะห์ความผิดพลาดของระบบด้วยวิธีต้นไม้
Fault Tree Analysis (FTA) จะนิยมใช้เครื่องมือในการคำนวณทางพีชคณิตแบบบูลีนดังต่อไปนี้

โดยเครื่องหมายที่นิยมใช้คือ เครื่องหมาย “หรือ(OR) ” กับ “และ(AND)” ซึ่งมีลักษณะการเขียนเพื่อการคำนวณดังนี้






International Standard ของ Fault Tree Analysis (FTA)
หนึ่งใน International Standard ของ FTA ที่กล่าวถึงประโยชน์ของ FTA การประยุกต์ใช้ FTA เข้ารวมกับเทคนิคอื่นๆ เช่น Event Tree Analysis, Markov Modeling, Reliabilty Block Diagram, และอื่นๆ คือ IEC 61025, 2006