Safety Integrity Level (SIL) Verification is a crucial aspect of the functional safety lifecycle of the Safety Instrumented System (SIS) in the process industry. It involves a systematic and thorough assessment to confirm that the Safety Instrumented Function (SIF) within a system meets the target SIL.
The SIL and Probability of Failure on Demand (PFD) and closely related concepts in the context of SIS. The PFD is a quantitative measure used in this process to evaluate the reliability of SIS.
The goal of SIL verification is to ensure that the SIS is capable of reducing the risk associated with hazardous events to an acceptable level.
The key variables for SIL Verification are failure rate, Mission Time, Proof Test Interval (PTI), Proof Test Coverage factor (PTC), and Mean Time To Restore (MTTR)

1. Failure Rate
The failure rate, often denoted as the lambda symbol in Greek, is a measure used in reliability engineering to quantify the likelihood of a component or system failure within a specific period. It represents the number of failures per unit of time.

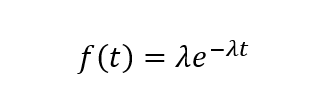
The relationship between failure rate and the probability of failure depends on the specific mathematical model used to describe the distribution of failure over time. One common model for the electronic device is the exponential distribution, which assumes a constant failure rate.
In the context of the exponential distribution, the probability density function (PDF) for time to failure (t) is given by:

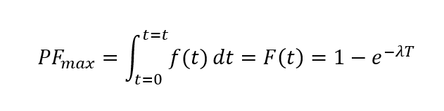
The cumulative distribution function (CDF) is the representative of the probability of failure occurring before or at a specific time (t) is given by:

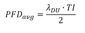
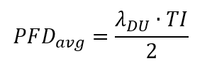
The probability of failure average of a single component is given by:

2. Proof Test Interval (PTI)
A proof test (TI) is a scheduled test or inspection conducted to ensure the SIS components are still capable of performing their safety function effectively. The purpose of proof testing is to detect and prevent undetected failures that could compromise the reliability of the system.
More frequent proof testing reduces the time between tests, increasing the chances of identifying and correcting potential failure promptly.
on the other hand, less frequent proof testing extends the time between tests, reducing the chances of identifying the failure results to higher the PF.

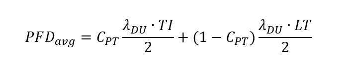
3. Proof Test Coverage (Cpt)
Proof Test Coverage is a measure of how well the proof testing activities can detect potential failure within the SIF. It is expressed as a percentage and is calculated based on the ability of the proof test to identify and address different failure modes. The formula for Proof Test Coverage is:

The number of failures detected and non-detected can be found in the detailed FMEDA analysis report of each device.
4. Mission Time (MT) or Life Time (LT)
Mission Time is a period during which SIFs are serviced. This value corresponds to the period between each major shutdown and overhaul or replacement of all equipment.
When taking into account the mission time, the probability of failure on demand average of a single element is changed to more precious as:

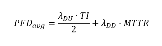
5. Mean Time To Restore (MTTR)
MTTR means the time at which a SIF is not providing protection for a process. MTTR is the time to detect the failure, time spent before starting the repair, effective time to repair, and time before re-service (installation, testing, etc). Hence, MTTR includes both mean detection time (MDT) and mean repair time (MRT).

Anyhow, the terms MDT and MRT vary depending on the detection mechanism and process condition during testing as follows.
Mean Detection Time (MDT)
| Detection Mechanism | MDT |
| Automatic Diagnostics | DTI/2 |
| Manual Proof Test during shutdown | TI/2 |
| Manual Proof Test with process operating | TI/2+PTD |
| Undetected by automatic diagnostics or manual proof test | MT/2 |
Where the PTD is the Proof Test Duration
Mean Repair Time (MRT)
| Process Condition | MRT |
| Process shutdown during repair | 0 |
| Process operating during repair | MRT |
When taking into account the MTTR, the probability of failure on demand average of a single element is changed to more precious as:
